Symmetry underpins all physics research. We look for fundamental and beautiful patterns to describe and explain the laws of nature. One way of explaining symmetry is to ask: "what is the full set of operations I can do to my real-world experiment or abstract theory written on paper that doesn't change any physical measurements or predictions?'' There are simple symmetries we are perhaps already familiar with. For example, lab-based physics experiments usually don't care if you wait an hour to do the experiment or if you rotate your apparatus by 90 degrees.
Inspired by jumping insects, Oxford Mathematicians have helped develop a miniature robot capable of leaping more than 40 times its body length - equivalent to a human jumping up to the 20th floor of a building. The innovation could be a major step forward in developing miniature robots for a wide range of applications.
---
In 1900, David Hilbert posed his list of 23 mathematical problems. While some of them have been resolved in subsequent years, a few of his challenging questions remain unanswered to this day. One of them is Hilbert's 16th problem, which asks questions about the number of limit cycles that a system of ordinary differential equations can have. Such equations appear in modelling real-world systems in biological, chemical or physical applications, where their solutions are functions of time.
What do quantum mechanics, genetics, economic choice theory and ant behaviour have in common? Naturally, the first answer is that they have nothing at all to do with each other! Nonetheless, finding bridges between different fields is the bread and butter of the field of complex systems, an offshoot of statistical physics and other fields.
Algebraic topology is the study of the continuous shape of spaces by the discrete means of algebra. The beginning of modern algebraic topology can be traced back to an insight of Pontryagin in the 1930s which relates the global smooth geometry of manifolds to algebraic invariants associated to the local symmetries of those manifolds - this relation converts something smooth and geometric (called a manifold, potentially endowed with further structure) to something algebraic that can be written down with symbols and formulas, i.e.
Ecology, by my definition today, is the study of the phenomena, relationships, patterns and processes which constitute this living and breathing world which we all call home. Its reach is boundless, and the angles through which to look at ecological processes are diverse and span all academic disciplines. It is emerging as the central focus of the present day.
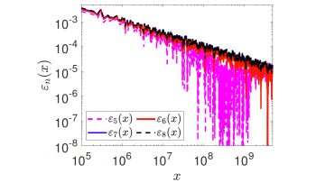
Recently, two Oxford Mathematics postdoctoral research associates Johannes Borgqvist and Sam Palmer published an article entitled “Occam's razor gets a new edge: the use of symmetries in model selection” in the Journal of the Royal Society Interface.
Porous materials occur throughout nature and industry, from volcanic rocks, to sponges, through to filters; they comprise a solid structure, which could be like honeycomb or a packing of grains, with gaps (pores) throughout. These pores allows fluid and small contaminants carried by the fluid, such as salt in seawater, to travel through the material. The shape and size of these pores affects the passage of fluid, which in turn affects the path the contaminants take and how much becomes trapped within the solid structure.
Next time you lose your paddle whilst canoeing - don't despair. There is another way to push your canoe forwards: by jumping on it! Gunwale bobbing refers to the act of standing on the gunwales (side walls) of a canoe and forcing it into oscillations with one's legs. When forced at the right frequency, the canoe can surf from crest to crest of the generated wave field by pushing into positive surface gradients.
As cancer treatment improves and survival rates increase, the long- and short-term side-effects of these treatments become more of a concern. One such side-effect is autoimmune myocarditis, or cardiac muscle inflammation, which can occur in patients undergoing treatment with immune checkpoint inhibitors (ICIs), a class of drugs used in cancer therapy. Although autoimmune myocarditis is a rare side-effect affecting only 0.1-1% of patients being treated with ICIs, it has a high fatality rate at 25-50% of cases.
Topological data analysis enables deep quantification of vascular responses to drug and radiation treatment in 3D tumours. Oxford Mathematician Bernadette Stolz explains.
Quantum field theory (QFT) is a natural language for describing quantum physics that obeys special relativity. A modern perspective on QFT is provided by the renormalization group (RG) flow, which is a path defined on the coupling constant space and evolves from the ultraviolet (UV) to the infrared (IR) fixed point. In particular, the theories on the IR fixed point are scale-invariant and most of them are known to be promoted to a conformal field theory (CFT).
The study of finitely generated groups usually proceeds in two steps. Firstly, a class of spaces with some intrinsic geometric property is defined and understood, for example hyperbolic spaces or CAT(0) spaces. Secondly, we try to relate the geometry of the space to algebraic properties of groups acting properly discontinuously cocompactly (i.e. geometrically) on the space. For example, this gives rise to the well studied classes of hyperbolic groups and CAT(0) groups.
The virus causing the COVID-19 pandemic, SARS-CoV-2, is transmitted through virus-carrying respiratory droplets, which are released when an infected person coughs, sneezes, talks or breathes. Most of these droplets will fall to the ground within two metres, hence the guidelines to maintain social distancing. However, some droplets are small enough to float in the air. These droplets may remain airborne for hours and be carried throughout a room, leading to airborne transmission.
The first months of 2020 brought the world to an almost complete standstill due to the occurrence and outbreak of the SARS-CoV-2 coronavirus, which causes the highly contagious COVID-19 disease. Despite the hopes that rapidly developing medical sciences would quickly find an effective remedy, the last two years have made it quite clear that, despite vaccines, this is not very likely.